Speech Hits MultiMod
Simple enough idea: Generate words with the Synthtech E950, send them through MultiMod and mix them. I took the eight MultiMod outputs by pairs through DABS, so I could switch … Read More
Simple enough idea: Generate words with the Synthtech E950, send them through MultiMod and mix them. I took the eight MultiMod outputs by pairs through DABS, so I could switch … Read More
This patch uses the same control structure with the four S&H and the two Mixwitches. This time it is driving two different oscillators, the Vhikk X and the Just Friends … Read More
This patch started out with a bit of head scratching how to apply the switchers in the two new Klavis Mixwitch modules I just got. The four Bastl Tromsø modules … Read More
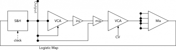
I got this patch from a ModWiggler forum thread called Patching Chaotic CV from basic modules. It’s on page 1, from user Pelsea, and refers to this Doepfer patch page, … Read More
DABS is a quad DPDT manual switch. It’s as simple as that! Double Pole means two separate switches. Double Throw means two positions. DABS uses center-off switches, so that it … Read More
Having just received a Smoothie Audio SMEAR, I set up a simple patch to try it out. This turned into a longer investigation of some other effects, especially Qu-Bit Data … Read More
First, patch up a lot of synchronized triggers. Too many. Then find ways to make eight percussive sounds. Each sound will have some modulation or effect. Mix all in ALM … Read More
Noise Engineering has a line of digital modules, The World of Versio. There is a selection of firmware that can be loaded onto any of the modules in this line. … Read More
I reworked the previous patch, replacing the VCAs with VCFs. The envelope generators got a voltage control to correlate the fall time with the rate of the incoming trigger pulses, … Read More
After locating the 7U Adventure case (to the left above) next to the other Eurorack cases, I sat faced with a daunting ten cases ready to be patched. After a … Read More